ProcalElect 526009 full analysis,charts,indicators,moving averages,SMA,DMA,EMA,ADX,MACD,RSIProcal Elect 526009 WideScreen charts, DMA,SMA,EMA technical analysis, forecast prediction, by indicators ADX,MACD,RSI,CCI BSE stock exchange
Daily price and charts and targets ProcalElect Strong Daily Stock price targets for ProcalElect 526009 are 0.97 and 0.97 | Daily Target 1 | 0.97 | | Daily Target 2 | 0.97 | | Daily Target 3 | 0.97 | | Daily Target 4 | 0.97 | | Daily Target 5 | 0.97 |
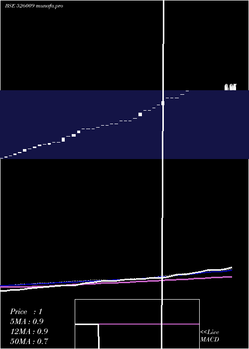
Daily price and volume Procal Elect
| Date |
Closing |
Open |
Range |
Volume |
Mon 22 December 2025 |
0.97 (4.3%) |
0.97 |
0.97 - 0.97 |
0.1244 times |
Mon 10 November 2025 |
0.93 (4.49%) |
0.93 |
0.93 - 0.93 |
7.3217 times |
Mon 15 September 2025 |
0.89 (0%) |
0.89 |
0.89 - 0.89 |
2.3492 times |
Mon 25 August 2025 |
0.89 (0%) |
0.89 |
0.89 - 0.89 |
0.0311 times |
Mon 28 July 2025 |
0.89 (0%) |
0.89 |
0.89 - 0.89 |
0.0003 times |
Mon 21 July 2025 |
0.89 (4.71%) |
0.89 |
0.89 - 0.89 |
0.0933 times |
Mon 16 June 2025 |
0.85 (0%) |
0.85 |
0.85 - 0.85 |
0.0314 times |
Mon 09 June 2025 |
0.85 (4.94%) |
0.85 |
0.85 - 0.85 |
0.0019 times |
Mon 02 June 2025 |
0.81 (0%) |
0.81 |
0.81 - 0.81 |
0.0156 times |
Mon 05 May 2025 |
0.81 (3.85%) |
0.81 |
0.81 - 0.81 |
0.0311 times |
Mon 28 April 2025 |
0.78 (4%) |
0.78 |
0.78 - 0.78 |
0.0622 times |

Weekly price and charts ProcalElect Strong weekly Stock price targets for ProcalElect 526009 are 0.97 and 0.97 | Weekly Target 1 | 0.97 | | Weekly Target 2 | 0.97 | | Weekly Target 3 | 0.97 | | Weekly Target 4 | 0.97 | | Weekly Target 5 | 0.97 |
Weekly price and volumes for Procal Elect
| Date |
Closing |
Open |
Range |
Volume |
Mon 22 December 2025 |
0.97 (4.3%) |
0.97 |
0.97 - 0.97 |
0.1244 times |
Mon 10 November 2025 |
0.93 (4.49%) |
0.93 |
0.93 - 0.93 |
7.3217 times |
Mon 15 September 2025 |
0.89 (0%) |
0.89 |
0.89 - 0.89 |
2.3492 times |
Mon 25 August 2025 |
0.89 (0%) |
0.89 |
0.89 - 0.89 |
0.0311 times |
Mon 28 July 2025 |
0.89 (0%) |
0.89 |
0.89 - 0.89 |
0.0003 times |
Mon 21 July 2025 |
0.89 (4.71%) |
0.89 |
0.89 - 0.89 |
0.0933 times |
Mon 16 June 2025 |
0.85 (0%) |
0.85 |
0.85 - 0.85 |
0.0314 times |
Mon 09 June 2025 |
0.85 (4.94%) |
0.85 |
0.85 - 0.85 |
0.0019 times |
Mon 02 June 2025 |
0.81 (0%) |
0.81 |
0.81 - 0.81 |
0.0156 times |
Mon 05 May 2025 |
0.81 (3.85%) |
0.81 |
0.81 - 0.81 |
0.0311 times |
Mon 28 April 2025 |
0.78 (4%) |
0.78 |
0.78 - 0.78 |
0.0622 times |

Monthly price and charts ProcalElect Strong monthly Stock price targets for ProcalElect 526009 are 0.97 and 0.97 | Monthly Target 1 | 0.97 | | Monthly Target 2 | 0.97 | | Monthly Target 3 | 0.97 | | Monthly Target 4 | 0.97 | | Monthly Target 5 | 0.97 |
Monthly price and volumes Procal Elect
| Date |
Closing |
Open |
Range |
Volume |
Mon 22 December 2025 |
0.97 (4.3%) |
0.97 |
0.97 - 0.97 |
0.1219 times |
Mon 10 November 2025 |
0.93 (4.49%) |
0.93 |
0.93 - 0.93 |
7.1766 times |
Mon 15 September 2025 |
0.89 (0%) |
0.89 |
0.89 - 0.89 |
2.3027 times |
Mon 25 August 2025 |
0.89 (0%) |
0.89 |
0.89 - 0.89 |
0.0305 times |
Mon 28 July 2025 |
0.89 (4.71%) |
0.89 |
0.89 - 0.89 |
0.0918 times |
Mon 16 June 2025 |
0.85 (4.94%) |
0.81 |
0.81 - 0.85 |
0.0479 times |
Mon 05 May 2025 |
0.81 (3.85%) |
0.81 |
0.81 - 0.81 |
0.0305 times |
Mon 28 April 2025 |
0.78 (4%) |
0.78 |
0.78 - 0.78 |
0.061 times |
Mon 03 March 2025 |
0.75 (0%) |
0.75 |
0.75 - 0.75 |
0.0305 times |
Mon 27 January 2025 |
0.75 (4.17%) |
0.75 |
0.75 - 0.75 |
0.1067 times |
Mon 30 December 2024 |
0.72 (9.09%) |
0.69 |
0.69 - 0.72 |
0.1524 times |

DMA SMA EMA moving averages of Procal Elect 526009
DMA (daily moving average) of Procal Elect 526009
| DMA period | DMA value | | 5 day DMA | 0.91 | | 12 day DMA | 0.86 | | 20 day DMA | 0.78 | | 35 day DMA | 0.68 | | 50 day DMA | 0.59 | | 100 day DMA | 0.44 | | 150 day DMA | | | 200 day DMA | | EMA (exponential moving average) of Procal Elect 526009
| EMA period | EMA current | EMA prev | EMA prev2 | | 5 day EMA | 0.92 | 0.9 | 0.88 | | 12 day EMA | 0.87 | 0.85 | 0.83 | | 20 day EMA | 0.81 | 0.79 | 0.77 | | 35 day EMA | 0.7 | 0.68 | 0.66 | | 50 day EMA | 0.59 | 0.57 | 0.56 |
SMA (simple moving average) of Procal Elect 526009
| SMA period | SMA current | SMA prev | SMA prev2 | | 5 day SMA | 0.91 | 0.9 | 0.88 | | 12 day SMA | 0.86 | 0.84 | 0.82 | | 20 day SMA | 0.78 | 0.76 | 0.75 | | 35 day SMA | 0.68 | 0.66 | 0.65 | | 50 day SMA | 0.59 | 0.58 | 0.57 | | 100 day SMA | 0.44 | 0.43 | 0.43 | | 150 day SMA | | 200 day SMA |
|
|