SurbhiInd 514260 full analysis,charts,indicators,moving averages,SMA,DMA,EMA,ADX,MACD,RSISurbhi Ind 514260 WideScreen charts, DMA,SMA,EMA technical analysis, forecast prediction, by indicators ADX,MACD,RSI,CCI BSE stock exchange
Daily price and charts and targets SurbhiInd Strong Daily Stock price targets for SurbhiInd 514260 are 25.16 and 25.16 | Daily Target 1 | 25.16 | | Daily Target 2 | 25.16 | | Daily Target 3 | 25.16 | | Daily Target 4 | 25.16 | | Daily Target 5 | 25.16 |
Daily price and volume Surbhi Ind
| Date |
Closing |
Open |
Range |
Volume |
Wed 03 December 2025 |
25.16 (4.96%) |
25.16 |
25.16 - 25.16 |
0.813 times |
Tue 28 October 2025 |
23.97 (10.21%) |
23.97 |
23.97 - 23.97 |
1.626 times |
Tue 21 October 2025 |
21.75 (4.97%) |
21.75 |
21.75 - 21.75 |
0.813 times |
Fri 03 October 2025 |
20.72 (4.96%) |
20.72 |
20.72 - 20.72 |
6.5041 times |
Wed 01 October 2025 |
19.74 (5%) |
19.74 |
19.74 - 19.74 |
0.1626 times |
Tue 30 September 2025 |
18.80 (4.97%) |
18.80 |
18.80 - 18.80 |
0.0163 times |
Mon 22 September 2025 |
17.91 (4.98%) |
17.91 |
17.91 - 17.91 |
0.0163 times |
Wed 17 September 2025 |
17.06 (4.98%) |
17.06 |
17.06 - 17.06 |
0.0163 times |
Fri 12 September 2025 |
16.25 (4.97%) |
16.25 |
16.25 - 16.25 |
0.0163 times |
Thu 11 September 2025 |
15.48 (4.95%) |
15.48 |
15.48 - 15.48 |
0.0163 times |
Thu 04 September 2025 |
14.75 (4.98%) |
14.75 |
14.75 - 14.75 |
1.6423 times |

Weekly price and charts SurbhiInd Strong weekly Stock price targets for SurbhiInd 514260 are 24.57 and 25.76 | Weekly Target 1 | 23.57 | | Weekly Target 2 | 24.37 | | Weekly Target 3 | 24.763333333333 | | Weekly Target 4 | 25.56 | | Weekly Target 5 | 25.95 |
Weekly price and volumes for Surbhi Ind
| Date |
Closing |
Open |
Range |
Volume |
Wed 03 December 2025 |
25.16 (15.68%) |
23.97 |
23.97 - 25.16 |
0.7184 times |
Tue 21 October 2025 |
21.75 (4.97%) |
21.75 |
21.75 - 21.75 |
0.2395 times |
Fri 03 October 2025 |
20.72 (21.45%) |
17.91 |
17.91 - 20.72 |
1.9732 times |
Wed 17 September 2025 |
17.06 (4.98%) |
17.06 |
17.06 - 17.06 |
0.0048 times |
Fri 12 September 2025 |
16.25 (10.17%) |
15.48 |
15.48 - 16.25 |
0.0096 times |
Thu 04 September 2025 |
14.75 (10.16%) |
14.05 |
14.05 - 14.75 |
0.4885 times |
Wed 09 July 2025 |
13.39 (10.12%) |
12.76 |
12.76 - 13.39 |
1.9205 times |
Thu 12 June 2025 |
12.16 (10.14%) |
11.59 |
11.59 - 12.16 |
2.4904 times |
Fri 23 May 2025 |
11.04 (4.94%) |
11.04 |
11.04 - 11.04 |
0.0958 times |
Fri 09 May 2025 |
10.52 (10.16%) |
10.02 |
10.02 - 10.52 |
2.0594 times |
Thu 17 April 2025 |
9.55 (4.95%) |
9.55 |
9.55 - 9.55 |
0.0479 times |

Monthly price and charts SurbhiInd Strong monthly Stock price targets for SurbhiInd 514260 are 25.16 and 25.16 | Monthly Target 1 | 25.16 | | Monthly Target 2 | 25.16 | | Monthly Target 3 | 25.16 | | Monthly Target 4 | 25.16 | | Monthly Target 5 | 25.16 |
Monthly price and volumes Surbhi Ind
| Date |
Closing |
Open |
Range |
Volume |
Wed 03 December 2025 |
25.16 (4.96%) |
25.16 |
25.16 - 25.16 |
0.2305 times |
Tue 28 October 2025 |
23.97 (27.5%) |
19.74 |
19.74 - 23.97 |
2.5818 times |
Tue 30 September 2025 |
18.80 (33.81%) |
14.75 |
14.75 - 18.80 |
0.4887 times |
Wed 06 August 2025 |
14.05 (4.93%) |
14.05 |
14.05 - 14.05 |
0.0046 times |
Wed 09 July 2025 |
13.39 (4.94%) |
13.39 |
13.39 - 13.39 |
0.0046 times |
Mon 23 June 2025 |
12.76 (15.58%) |
11.59 |
11.59 - 12.76 |
4.2416 times |
Fri 23 May 2025 |
11.04 (10.18%) |
10.52 |
10.52 - 11.04 |
0.2305 times |
Mon 28 April 2025 |
10.02 (21.31%) |
9.10 |
9.10 - 10.02 |
1.9364 times |
Wed 26 March 2025 |
8.26 (4.96%) |
8.26 |
8.26 - 8.26 |
0.0461 times |
Mon 27 January 2025 |
7.87 (10.07%) |
7.50 |
7.50 - 7.87 |
0.2351 times |
Tue 24 December 2024 |
7.15 (4.99%) |
7.15 |
7.15 - 7.15 |
2.3052 times |

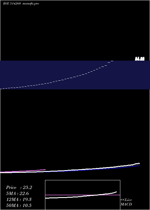
DMA SMA EMA moving averages of Surbhi Ind 514260
DMA (daily moving average) of Surbhi Ind 514260
| DMA period | DMA value | | 5 day DMA | 22.27 | | 12 day DMA | 18.8 | | 20 day DMA | 15.83 | | 35 day DMA | 11.77 | | 50 day DMA | 9.16 | | 100 day DMA | | | 150 day DMA | | | 200 day DMA | | EMA (exponential moving average) of Surbhi Ind 514260
| EMA period | EMA current | EMA prev | EMA prev2 | | 5 day EMA | 22.55 | 21.24 | 19.87 | | 12 day EMA | 19.34 | 18.28 | 17.24 | | 20 day EMA | 16.7 | 15.81 | 14.95 | | 35 day EMA | 13.19 | 12.48 | 11.8 | | 50 day EMA | 9.87 | 9.25 | 8.65 |
SMA (simple moving average) of Surbhi Ind 514260
| SMA period | SMA current | SMA prev | SMA prev2 | | 5 day SMA | 22.27 | 21 | 19.78 | | 12 day SMA | 18.8 | 17.82 | 16.89 | | 20 day SMA | 15.83 | 15.03 | 14.25 | | 35 day SMA | 11.77 | 11.17 | 10.6 | | 50 day SMA | 9.16 | 8.7 | 8.26 | | 100 day SMA | | 150 day SMA | | 200 day SMA |
|
|