SagarSoya 507663 full analysis,charts,indicators,moving averages,SMA,DMA,EMA,ADX,MACD,RSI
Sagar Soya 507663 WideScreen charts, DMA,SMA,EMA technical analysis, forecast prediction, by indicators ADX,MACD,RSI,CCI BSE stock exchange
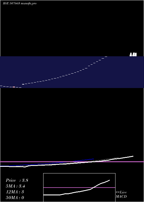
Daily price and charts and targets SagarSoya
Strong Daily Stock price targets for SagarSoya 507663 are 3.76 and 3.76
| Daily Target 1 | 3.76 |
| Daily Target 2 | 3.76 |
| Daily Target 3 | 3.76 |
| Daily Target 4 | 3.76 |
| Daily Target 5 | 3.76 |
Daily price and volume Sagar Soya
| Date | Closing | Open | Range | Volume | Tue 21 April 2026 | 3.76 (4.74%) | 3.76 | 3.76 - 3.76 | 2.9126 times | Wed 11 March 2026 | 3.59 (4.97%) | 3.59 | 3.59 - 3.59 | 1.4563 times | Wed 29 October 2025 | 3.42 (4.91%) | 3.42 | 3.42 - 3.42 | 1.4563 times | Mon 13 October 2025 | 3.26 (4.82%) | 3.26 | 3.26 - 3.26 | 0.4854 times | Wed 09 July 2025 | 3.11 (4.71%) | 3.11 | 3.11 - 3.11 | 0.7767 times | Wed 04 June 2025 | 2.97 (4.95%) | 2.97 | 2.97 - 2.97 | 0.4854 times | Fri 28 February 2025 | 2.83 (9.69%) | 2.83 | 2.83 - 2.83 | 0.2913 times | Thu 21 November 2024 | 2.58 (4.88%) | 2.58 | 2.58 - 2.58 | 1.9417 times | Thu 17 October 2024 | 2.46 (4.68%) | 2.46 | 2.46 - 2.46 | 0.0971 times | Wed 28 August 2024 | 2.35 (4.91%) | 2.35 | 2.35 - 2.35 | 0.0971 times | Tue 27 August 2024 | 2.24 (4.67%) | 2.24 | 2.24 - 2.24 | 0.9709 times |
Weekly price and charts SagarSoya
Strong weekly Stock price targets for SagarSoya 507663 are 3.76 and 3.76
| Weekly Target 1 | 3.76 |
| Weekly Target 2 | 3.76 |
| Weekly Target 3 | 3.76 |
| Weekly Target 4 | 3.76 |
| Weekly Target 5 | 3.76 |
Weekly price and volumes for Sagar Soya
| Date | Closing | Open | Range | Volume | Tue 21 April 2026 | 3.76 (4.74%) | 3.76 | 3.76 - 3.76 | 1.6216 times | Wed 11 March 2026 | 3.59 (4.97%) | 3.59 | 3.59 - 3.59 | 0.8108 times | Wed 29 October 2025 | 3.42 (9.97%) | 3.26 | 3.26 - 3.42 | 1.0811 times | Wed 09 July 2025 | 3.11 (4.71%) | 3.11 | 3.11 - 3.11 | 0.4324 times | Wed 04 June 2025 | 2.97 (4.95%) | 2.97 | 2.97 - 2.97 | 0.2703 times | Fri 28 February 2025 | 2.83 (15.04%) | 2.58 | 2.58 - 2.83 | 1.2432 times | Thu 17 October 2024 | 2.46 (14.95%) | 2.24 | 2.24 - 2.46 | 0.6486 times | Wed 21 August 2024 | 2.14 (9.74%) | 2.04 | 2.04 - 2.14 | 2.4865 times | Wed 07 August 2024 | 1.95 (4.84%) | 1.95 | 1.95 - 1.95 | 0.4324 times | Wed 31 July 2024 | 1.86 (4.49%) | 1.86 | 1.86 - 1.86 | 0.973 times | Wed 03 July 2024 | 1.78 (4.71%) | 1.78 | 1.78 - 1.78 | 1.1351 times |
Monthly price and charts SagarSoya
Strong monthly Stock price targets for SagarSoya 507663 are 3.76 and 3.76
| Monthly Target 1 | 3.76 |
| Monthly Target 2 | 3.76 |
| Monthly Target 3 | 3.76 |
| Monthly Target 4 | 3.76 |
| Monthly Target 5 | 3.76 |
Monthly price and volumes Sagar Soya
| Date | Closing | Open | Range | Volume | Tue 21 April 2026 | 3.76 (4.74%) | 3.76 | 3.76 - 3.76 | 1.4563 times | Wed 11 March 2026 | 3.59 (4.97%) | 3.59 | 3.59 - 3.59 | 0.7282 times | Wed 29 October 2025 | 3.42 (9.97%) | 3.26 | 3.26 - 3.42 | 0.9709 times | Wed 09 July 2025 | 3.11 (4.71%) | 3.11 | 3.11 - 3.11 | 0.3883 times | Wed 04 June 2025 | 2.97 (4.95%) | 2.97 | 2.97 - 2.97 | 0.2427 times | Fri 28 February 2025 | 2.83 (9.69%) | 2.83 | 2.83 - 2.83 | 0.1456 times | Thu 21 November 2024 | 2.58 (4.88%) | 2.58 | 2.58 - 2.58 | 0.9709 times | Thu 17 October 2024 | 2.46 (4.68%) | 2.46 | 2.46 - 2.46 | 0.0485 times | Wed 28 August 2024 | 2.35 (26.34%) | 1.95 | 1.95 - 2.35 | 3.1553 times | Wed 31 July 2024 | 1.86 (9.41%) | 1.78 | 1.78 - 1.86 | 1.8932 times | Fri 07 June 2024 | 1.70 (4.94%) | 1.70 | 1.70 - 1.70 | 0.0485 times |
Indicator Analysis of SagarSoya
Please login to view indicator analysis. or View indicator analysis of SagarSoya 507663 on MunafaSutra.com for free
DMA SMA EMA moving averages of Sagar Soya 507663
DMA (daily moving average) of Sagar Soya 507663
| DMA period | DMA value |
| 5 day DMA | 3.43 |
| 12 day DMA | 2.89 |
| 20 day DMA | 2.43 |
| 35 day DMA | 1.82 |
| 50 day DMA | |
| 100 day DMA | |
| 150 day DMA | |
| 200 day DMA |
EMA (exponential moving average) of Sagar Soya 507663
| EMA period | EMA current | EMA prev | EMA prev2 |
| 5 day EMA | 3.44 | 3.28 | 3.12 |
| 12 day EMA | 2.96 | 2.82 | 2.68 |
| 20 day EMA | 2.56 | 2.43 | 2.31 |
| 35 day EMA | 1.87 | 1.76 | 1.65 |
| 50 day EMA | 0 | 0 | 0 |
SMA (simple moving average) of Sagar Soya 507663
| SMA period | SMA current | SMA prev | SMA prev2 |
| 5 day SMA | 3.43 | 3.27 | 3.12 |
| 12 day SMA | 2.89 | 2.75 | 2.61 |
| 20 day SMA | 2.43 | 2.32 | 2.21 |
| 35 day SMA | 1.82 | ||
| 50 day SMA | |||
| 100 day SMA | |||
| 150 day SMA | |||
| 200 day SMA |
Terms of Use Stock Market News! © munafa.pro2026 All Rights reserved.
